全球化学品在线数据库

(卟吩-5,10,15,20-四基)四(苯-4-磺酸) 化学品安全技术说明书 (CAS 35218-75-8)

本页面提供 (卟吩-5,10,15,20-四基)四(苯-4-磺酸) (CAS 35218-75-8) 的化学品安全技术说明书 (SDS),包括危险性、急救措施、储存与操作要求等信息。用户可免费下载 SDS 文件用于实验室或工业参考。

产品概述

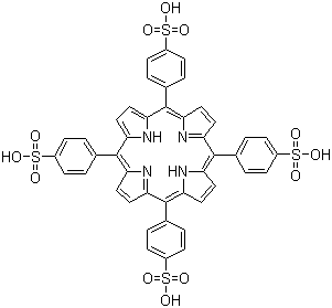
结构式 CAS# 35218-75-8, (卟吩-5,10,15,20-四基)四(苯-4-磺酸)
产品名称 (卟吩-5,10,15,20-四基)四(苯-4-磺酸)
CAS 登录号 35218-75-8
分子式 C44H30N4O12S4
分子量 934.99
(卟吩-5,10,15,20-四基)四(苯-4-磺酸)的详细资料
 
资料来源 SDS 样本
Sigma-Aldrich
www.sigmaaldrich.com/catalog/Lookup.do?N5=All&N3=mode+matchpartialmax&N1=S_ID&ST=RS&N25=0&F=PR&D7=0&N4=35218-75-8
浏览或下载
TCI
www.spectrumchemical.com/MSDS/TCI-A5013.pdf
浏览或下载

免责声明

本页所列之化学品安全技术说明书样本系 chemBlink 公司搜集的互联网公开信息,仅用于指导化学品安全技术说明书的编辑与制作。chemBlink 竭诚提供可靠信息,然而不承诺其完备与准确。 阅读全文...



常见问题 (FAQ)
什么是 SDS?   如何下载 SDS?   SDS 是否免费?   SDS 和 MSDS 有什么区别?



相关化学品安全技术说明书
4-氟苯基溴化镁   7-十四碳炔   依托红霉素   3-(甲烷磺酰基)苯...   4-(2-环氧乙烷基...   1-庚烯-4-醇   4-(1,3,4-恶...   肌苷-5'-单磷酸二...   乙基5-氨基-2-甲...   4-氯-5,7-二甲...