全球化学品在线数据库

L-alpha-二月桂酰甘油-3-磷酰胆碱 化学品安全技术说明书 (CAS 18194-25-7)

本页面提供 L-alpha-二月桂酰甘油-3-磷酰胆碱 (CAS 18194-25-7) 的化学品安全技术说明书 (SDS),包括危险性、急救措施、储存与操作要求等信息。用户可免费下载 SDS 文件用于实验室或工业参考。

产品概述

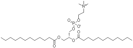
结构式 CAS# 18194-25-7, L-alpha-二月桂酰甘油-3-磷酰胆碱
产品名称 L-alpha-二月桂酰甘油-3-磷酰胆碱
CAS 登录号 18194-25-7
分子式 C32H64NO8P
分子量 621.83
L-alpha-二月桂酰甘油-3-磷酰胆碱的详细资料
 
资料来源 SDS 样本
Sigma-Aldrich
www.sigmaaldrich.com/catalog/Lookup.do?N5=All&N3=mode+matchpartialmax&N1=S_ID&ST=RS&N25=0&F=PR&D7=0&N4=18194-25-7
浏览或下载
Cayman
www.caymanchem.com/msdss/11023m.pdf
浏览或下载

免责声明

本页所列之化学品安全技术说明书样本系 chemBlink 公司搜集的互联网公开信息,仅用于指导化学品安全技术说明书的编辑与制作。chemBlink 竭诚提供可靠信息,然而不承诺其完备与准确。 阅读全文...



常见问题 (FAQ)
什么是 SDS?   如何下载 SDS?   SDS 是否免费?   SDS 和 MSDS 有什么区别?



相关化学品安全技术说明书
1-(2-羟基乙基)...   (2S)-1,1,1...   1-[(三异丙基硅烷...   (2E)-1-(2-...   二肉豆蔻酰基卵磷脂   Sequirin C   4-氯-7,8-二甲...   4-氯-7-喹啉甲腈   4-氯-7-羟基喹啉   4-溴-7-羟基喹啉