全球化学品在线数据库

1,4-二(氯甲基)-2-[(3,7-二甲基辛基)氧基]-5-甲氧基苯 化学品安全技术说明书 (CAS 174097-32-6)

本页面提供 1,4-二(氯甲基)-2-[(3,7-二甲基辛基)氧基]-5-甲氧基苯 (CAS 174097-32-6) 的化学品安全技术说明书 (SDS),包括危险性、急救措施、储存与操作要求等信息。用户可免费下载 SDS 文件用于实验室或工业参考。

产品概述

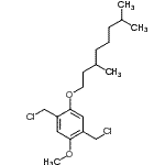
结构式 CAS# 174097-32-6, 1,4-二(氯甲基)-2-[(3,7-二甲基辛基)氧基]-5-甲氧基苯
产品名称 1,4-二(氯甲基)-2-[(3,7-二甲基辛基)氧基]-5-甲氧基苯
CAS 登录号 174097-32-6
分子式 C19H30Cl2O2
分子量 361.35
1,4-二(氯甲基)-2-[(3,7-二甲基辛基)氧基]-5-甲氧基苯的详细资料
 
资料来源 SDS 样本
Sigma-Aldrich
www.sigmaaldrich.com/catalog/Lookup.do?N5=All&N3=mode+matchpartialmax&N1=S_ID&ST=RS&N25=0&F=PR&D7=0&N4=174097-32-6
浏览或下载

免责声明

本页所列之化学品安全技术说明书样本系 chemBlink 公司搜集的互联网公开信息,仅用于指导化学品安全技术说明书的编辑与制作。chemBlink 竭诚提供可靠信息,然而不承诺其完备与准确。 阅读全文...



常见问题 (FAQ)
什么是 SDS?   如何下载 SDS?   SDS 是否免费?   SDS 和 MSDS 有什么区别?



相关化学品安全技术说明书
3,5-双(三氟甲基...   6-溴-2-(氯甲基...   2,3-二氢-6-异...   3-甲酰基-1-甲基...   (R)-alpha-...   三甲基肼   甲基(二甲氧基硫代膦...   6-氯-2,8-二甲...   (5-氯-1-戊炔-...   2,3-二氢-1,4...