| 产品概述 | |
| |
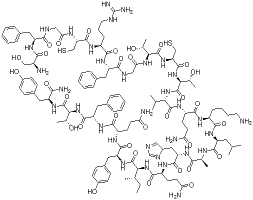
| 产品名称 | L-丝氨酰-L-苯丙氨酰甘氨酰-L-半胱氨酰-L-精氨酰-L-苯丙氨酰甘氨酰-L-苏氨酰-L-半胱氨酰-L-苏氨酰-L-缬氨酰-L-谷氨酰胺酰-L-赖氨酰-L-亮氨酰-L-丙氨酰-L-组氨酰-L-谷氨酰胺酰-L-异亮氨酰-L-酪氨酰-L-谷氨酰胺酰-L-苯丙氨酰-L-苏氨酰-L-L-酪氨酰胺 |
| CAS 登录号 | 154765-05-6 |
| L-丝氨酰-L-苯丙氨酰甘氨酰-L-半胱氨酰-L-精氨酰-L-苯丙氨酰甘氨酰-L-苏氨酰-L-半胱氨酰-L-苏氨酰-L-缬氨酰-L-谷氨酰胺酰-L-赖氨酰-L-亮氨酰-L-丙氨酰-L-组氨酰-L-谷氨酰胺酰-L-异亮氨酰-L-酪氨酰-L-谷氨酰胺酰-L-苯丙氨酰-L-苏氨酰-L-L-酪氨酰胺的详细资料 | |
| 资料来源 | SDS 样本 |
| Alfa-Aesar www.alfa.com/en/content/msds/USA/J66619.pdf |
浏览或下载 |
|
免责声明 本页所列之化学品安全技术说明书样本系 chemBlink 公司搜集的互联网公开信息,仅用于指导化学品安全技术说明书的编辑与制作。chemBlink 竭诚提供可靠信息,然而不承诺其完备与准确。 阅读全文... |
|