Online Database of Chemicals from Around the World

Dimyristoyl phosphatidylglycerole sodium salt SDS (CAS 67232-80-8)

This page provides the Safety Data Sheet (SDS) for Dimyristoyl phosphatidylglycerole sodium salt (CAS 67232-80-8), including information on hazards, first-aid measures, storage, handling requirements, and more. Users may download the SDS file free of charge for laboratory or industrial reference.

Product Info

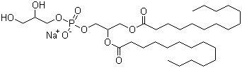
structure of CAS# 67232-80-8, Dimyristoyl phosphatidylglycerole sodium salt;1,2-Dimyristoyl-sn-glycero-3-phospho-rac-(1-glycerol) sodium salt
Product Name Dimyristoyl phosphatidylglycerole sodium salt
CAS Registry Number 67232-80-8
Molecular Formula C34H66O10P.Na
Molecular Weight 688.84
More information of Dimyristoyl phosphatidylglycerole sodium salt
 
Source SDS Document
Sigma-Aldrich
www.sigmaaldrich.com/catalog/Lookup.do?N5=All&N3=mode+matchpartialmax&N1=S_ID&ST=RS&N25=0&F=PR&D7=0&N4=67232-80-8
View / download

Disclaimer

The SDS samples above are collected from the Internet by chemBlink and displayed here for the tutorial purpose only. chemBlink LLC provides the information contained herein in good faith but makes no representation as to its comprehensiveness or accuracy. Read full context...



Frequently Asked Questions (FAQ)
What is an SDS?   How do I download an SDS?   Are SDSs free?   What is the difference between SDS and MSDS?



More SDS files for chemicals
(4-thiazol-2-yl...   3-(2-Thiazolyl)...   (3R)-1-(2-Amino...   1-[3-(4-Methylp...   bromo-(3-bromo-...   Dipalmitoyl...   O-(Tetrahydro-2...   5-Nitroguaiacol...   (1Z)-2,3,3,3-Te...   3-Ethynylthioph...