| Product Info | |
| |
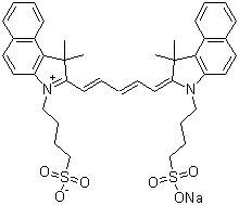
| Product Name | 2-[5-[1,1-Dimethyl-3-(4-sulfobutyl)-1,3-dihydrobenzo[e]indol-2-ylidene]penta-1,3-dienyl]-1,1-dimethyl-3-(4-sulfobutyl)-1H-benzo[e]indolium inner salt sodium salt |
| CAS Registry Number | 64285-36-5 |
| Molecular Formula | C41H45N2O6S2.Na |
| Molecular Weight | 748.93 |
| More information of 2-[5-[1,1-Dimethyl-3-(4-sulfobutyl)-1,3-dihydrobenzo[e]indol-2-ylidene]penta-1,3-dienyl]-1,1-dimethyl-3-(4-sulfobutyl)-1H-benzo[e]indolium inner salt sodium salt | |
| Source | SDS Document |
| TCI www.spectrumchemical.com/MSDS/TCI-D4463.pdf |
View / download |
|
Disclaimer The SDS samples above are collected from the Internet by chemBlink and displayed here for the tutorial purpose only. chemBlink LLC provides the information contained herein in good faith but makes no representation as to its comprehensiveness or accuracy. Read full context... |
|