Online Database of Chemicals from Around the World

Nonathymulin SDS (CAS 63958-90-7)

This page provides the Safety Data Sheet (SDS) for Nonathymulin (CAS 63958-90-7), including information on hazards, first-aid measures, storage, handling requirements, and more. Users may download the SDS file free of charge for laboratory or industrial reference.

Product Info

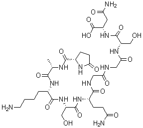
structure of CAS# 63958-90-7, Nonathymulin;Serum thymic factor; Serum thymic factor (porcine); Thymic serum factor; Thymic serum factor (pig); Thymulin
Product Name Nonathymulin
CAS Registry Number 63958-90-7
Molecular Formula C33H54N12O15
Molecular Weight 858.86
More information of Nonathymulin
 
Source SDS Document
Alfa-Aesar
www.alfa.com/en/content/msds/USA/J66656.pdf
View / download

Disclaimer

The SDS samples above are collected from the Internet by chemBlink and displayed here for the tutorial purpose only. chemBlink LLC provides the information contained herein in good faith but makes no representation as to its comprehensiveness or accuracy. Read full context...



Frequently Asked Questions (FAQ)
What is an SDS?   How do I download an SDS?   Are SDSs free?   What is the difference between SDS and MSDS?



More SDS files for chemicals
4,4'-Bis(3-amin...   N-(2,6-Difluoro...   2-(2-Chlorophen...   3,5-Difluorosal...   Chlorotriphenyl...   Diiodotriphenyl...   2-(Methylthio)-...   1,1'-Methyleneb...   1-(2,6-Dimethyl...   Artemisinin