Online Database of Chemicals from Around the World

Sugammadex sodium SDS (CAS 343306-79-6)

This page provides the Safety Data Sheet (SDS) for Sugammadex sodium (CAS 343306-79-6), including information on hazards, first-aid measures, storage, handling requirements, and more. Users may download the SDS file free of charge for laboratory or industrial reference.

Product Info

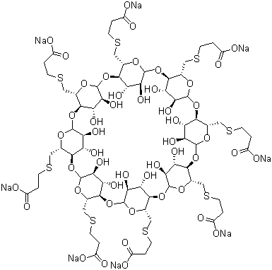
structure of CAS# 343306-79-6, Sugammadex sodium;Org 25969
Product Name Sugammadex sodium
CAS Registry Number 343306-79-6
Molecular Formula C72H104O48S8.8Na
Molecular Weight 2178.01
More information of Sugammadex sodium
 
Source SDS Document
Cayman
www.caymanchem.com/msdss/24096m.pdf
View / download

Disclaimer

The SDS samples above are collected from the Internet by chemBlink and displayed here for the tutorial purpose only. chemBlink LLC provides the information contained herein in good faith but makes no representation as to its comprehensiveness or accuracy. Read full context...



Frequently Asked Questions (FAQ)
What is an SDS?   How do I download an SDS?   Are SDSs free?   What is the difference between SDS and MSDS?



More SDS files for chemicals
3-Bromo-2-oxobu...   3-Allyl-5-(1-me...   4-(Tert-Butoxy)...   Cadmium...   Sugammadex   6-(4-Fluorophen...   8-AMINO-1-NAPHT...   5-Methyl-2-(4-T...   2-(Bromomethyl)...   Ethyl 2-(1,1-di...