Online Database of Chemicals from Around the World

Micafungin FR-179642 impurity (acid) SDS (CAS 168110-44-9)

This page provides the Safety Data Sheet (SDS) for Micafungin FR-179642 impurity (acid) (CAS 168110-44-9), including information on hazards, first-aid measures, storage, handling requirements, and more. Users may download the SDS file free of charge for laboratory or industrial reference.

Product Info

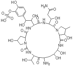
structure of CAS# 168110-44-9, Micafungin FR-179642 impurity (acid);[5-[(1S,2S)-2-[(3S,6S,9S,11R,15S,18S,20R,21R,24S,25S,26S)-18-amino-3-[(1R)-3-amino-1-hydroxy-3-oxopropyl]-11,20,21,25-tetrahydroxy-15-[(1R)-1-hydroxyethyl]-26-methyl-2,5,8,14,17,23-hexaoxo-1,4,7,13,16,22-hexazatricyclo[22.3.0.09,13]heptacosan-6-yl]-1,2-dihydroxyethyl]-2-hydroxyphenyl] hydrogen sulfate
Product Name Micafungin FR-179642 impurity (acid)
CAS Registry Number 168110-44-9
Molecular Formula C35H52N8O20S
Molecular Weight 936.90
More information of Micafungin FR-179642 impurity (acid)
 
Source SDS Document
Ambeed
file.ambeed.com/static/upload/prosds/am/416/SDS-A415708.pdf
View / download

Disclaimer

The SDS samples above are collected from the Internet by chemBlink and displayed here for the tutorial purpose only. chemBlink LLC provides the information contained herein in good faith but makes no representation as to its comprehensiveness or accuracy. Read full context...



Frequently Asked Questions (FAQ)
What is an SDS?   How do I download an SDS?   Are SDSs free?   What is the difference between SDS and MSDS?



More SDS files for chemicals
Pyribenzoxim   2-Methyl-2-Prop...   Ethyl 3-fluoro-...   Zinc di[bis(tri...   6-Methyl-1H-Pur...   2-Chloropurine   3-Acetyl-3-Meth...   7-Bromo-1,4-Dih...   Nickel Sulfide...   2,6-Bis(carbazo...